Description of PTEs
The descriptive statistics of the contents of soil PTEs in the study area were shown in Table 1. From Table 1, the mean contents of As and Ni in the oil-affected soils exceeded their corresponding risk screening values33, which may damage the soil ecological environment and affect crop growth. Compared with the secondary standard of soil environmental quality34, the mean contents of As, Cu and Zn were all lower than their corresponding Grade II standard values, but the mean contents of Cd, Cr, Ni and Pb in the oil-affected soils were 1.07, 7.46, 7.14 and 1.36 times of their standard values. In contrast with the background value of Hubei province35, except Mn, the mean contents of As, Cd, Cr, Cu, Ni, Pb, Zn and Ba in the oil-affected soils all exceeded their background values. Meanwhile, the variation coefficient of Cr (1.41) was greater than 1. In general, the soil Cd concentration in the study area was higher than that around Gudao Town, a typical oil-producing region of the Shengli Oilfield in the Yellow River Delta, China12, and from Yellow River Delta, a traditional oil field in China9, but was lower than that around two crude oil flow stations in the Niger Delta, Nigeria36. The concentrations of other PTEs were higher than the corresponding element concentrations, detected in the soil around Gudao Town, a typical oil-producing region of the Shengli Oilfield in the Yellow River Delta, China12, from Yellow River Delta, a traditional oil field in China9, and around two crude oil flow stations in the Niger Delta, Nigeria36. The above analysis exhibited that PTEs in the oil-affected soils had a certain degree of accumulation and may be affected by human activities.
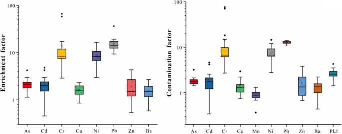
Levels of PTEs enrichment and pollution
The EF and PLI of soil PTEs in the study area were calculated to evaluate the pollution degree of soil PTEs. The calculation results of EF and PLI were shown in Fig. 2 and Table S4. From Fig. 2, the mean EF values of PTEs were showed as Pb > Cr > Ni > As > Cd > Zn > Cu > Ba. The mean EFs of all PTEs were greater than 1. Among them, the average EF of Cu, Zn and Ba was between 1 and 2, which was slightly enriched. And As (2.18) and Cd (2.12) were moderately enriched. In particular, the average EF values of Cr, Ni and Pb were 14.23, 8.69 and 15.45, respectively, reaching a significant enrichment level, and all samples of Cr, Ni and Pb were at moderate or above enrichment, of which 10% of the Cr samples were extreme pollution, 85% of Cr samples, 95% of Ni and 5% of Pb (Table S4) were significantly enriched. These proved that these PTEs were generally enriched in the study area, especially Cr, Ni and Pb.
Except Mn, the average CF values of other PTEs were all > 1 (Fig. 2), indicating that the accumulation of Mn in the study area was relatively light, and there was no obvious Mn pollution. The CF values of all samples of As, Cr, Ni and Pb, 80% of Cd samples, 75% of Cu samples, 30% of Mn samples, 65% of Zn samples and 75% of Ba samples (Table S4) were higher than 1. And the mean CF values of Cr, Ni and Pb were 14.21, 7.58 and 12.73, respectively, certifying that the pollution of Cr, Ni and Pb in the study area was considerably serious. PLI was calculated based on the CF value of PTEs, and the results were shown in Fig. 2. The average value of PLI was 2.62, indicating that the soil PTEs in the study area were seriously polluted.
Spatial distribution of soil PTEs in the study area
Geostatistical analysis was utilized to do ordinary Kriging interpolation of the PTEs in the study area, the results were shown in Fig. 3. As shown in Fig. 3, the spatial distribution of As, Cr, Ni, Zn and Ba was relatively consistent, and their hot spots were concentrated in the southeast, northwest, and central and eastern parts of the study area where oil wells were distributed. The spatial distribution of Cr and Ni exhibited that there were large-scale hotspots near the oil wells, and the content of Cr and Ni in these hotspots was much higher than second-level environmental quality standards of China, which proved that the content of soil Cr and Ni was significantly affected by the oil production activities of the oil production plant. There were crude oil leaks in B and C, and the contents of Zn and Ba in the vicinity of these two oil wells were relatively high, indicating that soil Zn and Ba in this area may be affected by the crude oil leakage, resulting in a certain degree of accumulation in the soil. The area with the second highest As content mainly resided in the middle of the study area. According to the survey, the herbicides were sprayed every year around the H oil well in the middle of the study area, indicating that the accumulation of As in the soil was not only related to oil extraction activities, but also to the use of pesticides (contains copper arsenate, sodium arsenate, etc.)10, 14. In addition, the hot spots of spatial distribution of Pb, Cd and Mn were concentrated in the southeast, and Cu was mainly concentrated in the southeast and midwest. As analyzed above, in addition to Mn, the PTEs Pb, Cd and Cu all have a certain degree of accumulation. And the investigation found that there were many petroleum machinery manufacturing plants in the central and eastern part of the study area, therefore, the accumulation of Pb, Cd and Cu in the soil may be related to factors such as petroleum extraction, crude oil leakage and machinery manufacturing. The above analysis indicated that the influence of human activities is evident on the distribution of soil PTEs3, 23.
Potential ecological risk assessment
The potential ecological risk assessment model after adjusting the threshold was used to evaluate the PER of the oil production plant. The individual potential ecological risk of PTEs was shown in Table 2. From Table 2, the average ({E}_{r}^{i}) values of PTEs were Cr > Pb > Cd > Ni > As > Cu > Zn > Mn. The average ({E}_{r}^{i}) values of Cr and Pb were 79.62 and 63.64, respectively, reaching a relatively high level of potential ecological risk; the average ({E}_{r}^{i}) values of Cd and Ni were 55.95 and 37.91, respectively, which were at medium potential ecological risk level; the average ({E}_{r}^{i}) values of other PTEs were all lower than 30, with minor potential ecological risk. Specifically, all samples of Cu, Mn and Zn were at slight potential ecological risk level; 5% of As samples, 80% of Cd, 85% of Cr, 80% of Ni and 100% of Pb (Table S5) were at medium and above potential ecological risk. In particular, the potential ecological risks of 35% of Cd samples, 10% of Cr samples, 5% of Ni samples and 80% of Pb samples (Table S5) were relatively high, 10% Cd samples reached high potential ecological risk level, and 10% Cr samples had extremely high potential ecological risk. In summary, Geostatistical analysis shows that the hotspot distribution of all PTEs in the study area is almost related to the distribution of oil wells. In addition, the hotspot distribution of PTEs may also be related to factors such as agricultural and industrial activities3. The average value of PER in the study area was 265.08, and the proportions of the three risk levels of medium, slightly high and high were 5%, 75% and 20%, respectively (Table S5). It proved that the study area was at a higher potential ecological risk. Among them, the PER values of samples A, B, D, E, F, G, H, I and J (Table 2) were all greater than 280, reaching fairly high ecological risk.
Human health risk assessment
The non-carcinogenic risk assessment of As, Cd, Cr, Cu, Mn, Ni, Pb, Zn and Ba in the soils of the study area was carried out, and the assessment results were shown in Table 3. The THI values of children and adults under the three exposure routes of soil PTEs in the study area were 7.31 and 1.03, respectively, and the THI values were all > 1, which indicated that soil PTEs around the oil production plants posed significant non-carcinogenic health risks to children and adults. The non-carcinogenic hazardous quotient (HQ) of children and adults in Table 3 revealed that the HQ of all PTEs for adults under each exposure route was less than 1, while the HQ of Cr and Pb for children under the oral intake route was greater than 1, which were 4.91 and 1.17, respectively. For HQ with different exposure routes of the same PTE, each soil PTE presented the risk of oral ingestion > oral and nasal inhalation risk > skin contact risk. The result was in agreement with the reports14, 37. Therefore, oral intake was the main exposure route of non-carcinogenic risk, and oral intake of Cr and Pb caused serious non-carcinogenic risk to children. Statistical analysis of HI for soil PTEs in the study area showed that the HI values of PTEs for children were significantly higher than those of adults, and the HI values of PTEs in children and adults were all Cr > Pb > > As > Ni > Mn > Ba > Cu > Zn > Cd. Among them, the HI values of all PTEs for adults were less than 1, indicating that the non-carcinogenic risks caused by a single PTE did not have a significant impact on adults; while the HI values of Cr and Pb for children were 4.93 and 1.17 greater than 1, indicating that they have caused serious non-carcinogenic risk to local children. In addition, the HI values of As and Ni for children and the HI values of As, Cr and Pb for adults were all greater than 0.1, which requires attention. In summary, children suffered from significant non-carcinogenic risk, and adults suffered from minor non-carcinogenic risk in the study area; soil Cr and Pb were the most important non-carcinogenic risk factors for children and adults in the study area.
In this study, soil As, Cd, Cr, Ni and Pb from the study area were assessed for carcinogenic risk, and the results were shown in Table 3. The TCRI of children and adults under the three exposure routes of these five PTEs were 9.44E−04 and 5.75E−04, respectively, indicating that soil PTEs around the oil production plants have caused serious carcinogenic risk to local children and adults. The CR values of children and adults showed that the CR values of Cr (6.33E−04) and Ni (2.64E−04) for children, and Cr (3.87E−04) and Ni (1.49E−04) for adults were all greater than 10–4. In addition, As, Cr and Cd all presented oral intake risk > oronasal inhalation risk > skin contact risk. In conclusion, Cr and Ni caused serious carcinogenic risk for children and adults in the study area, and oral intake was also the primary way of carcinogenic risk. The CRI statistics of adults and children exhibited that the CRI values of all PTEs were lower than those of children. The CRI values of the PTEs in adults and children under the three exposure routes were Cr > Ni > > As > Pb > > Cd. Among them, the CRI values of Cr and Ni in children and adults by oral intake were both greater than 10–4, showing a strong carcinogenic risk. It is noteworthy that the assessment based on total concentrations of PTEs in soil might overestimate potential health risks38. The above analysis revealed that both children and adults in the study area suffered from serious carcinogenic risks, and Cr and Ni were the chiefly carcinogenic risk factors.



